충진 균형


균형 대책

  • 스프루에서 각 캐비티에 도달하는 유로의 길이를 동일하게 설정한다.
  • 스프루에서 각 캐비티에 도달하는 유로의 길이가 다를 경우 러너 및 게이트 단면적 크기를 조절하여 최적화한다.
  • 유로 길이와 러너, 게이트의 단면적 크기가 동일하더라도 편차가 발생하면 유동 수지 진입구에 해당하는 게이트 크기를 미세하게 조정한다.


BGV


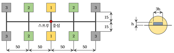
10캐비티 제품을 배치한 러너와 게이트 길이 및 단면
10캐비티 제품을 배치한 러너와 게이트 길이 및 단면



구분단위캐비티 1캐비티 2캐비티 3
게이트 폭mm1.91432.76243.1854
게이트 깊이mm0.63810.92081.0618
게이트 길이mm222
러너 단면적mm228.2628.2628.26
게이트 단면적mm21.22152.54343.3823
단면적 비율%4.3912
러너 길이가 다른 다수 캐비티에서의 게이트 크기


답글 남기기

이메일 주소는 공개되지 않습니다. 필수 필드는 *로 표시됩니다